安徽中公教育为您提供国家公务员考试信息,备考资料,在线咨询QQ 或关注安徽中公教育微信号:ahoffcn 更多资讯请加入国家公务员考试学习交流QQ群,希望对提前积极备考的你有所帮助!
2019国家公务员考试招考公告|报名时间|职位表|成绩排名|资格复审|面试公告汇总专题
在资料分析中,存在很多公式,而其中两数之比的公式在其中占比较大。两数之比主要包括比重,平均数以及倍数。而了解其中三者的共同点可以快速的进行记忆,减少记忆压力,从而快速做题。
一、基本公式:

例题1、2015年1-6月,全国固定资产投资(不含农户)237132亿元,同比增长11.4%,其中制造业投资79663亿元,增长9.7%。
问:2015年1-6月,制造业投资占全国固定资产投资(不含农户)的比重为百分之几?
A.28.3% B.35.2% C.37.1% D 33.6%
中公解析:所求为现期比重,所以为
,所以选择D。
例题2、2015年我国糖料种植面积为203万公顷,产量为13493万吨。
问:2015年我国糖料的平均产量约为多少吨/公顷?
A.53 B.66 C.73 D 85
中公解析:所求为现期平均数,所以为
,所以选择B。
例题3、1990年全球GDP为219769亿美元,2011年为699937亿美元。
问:2011年全球GDP是1990年的多少倍?
A.2.87 B.3.05 C.3.18 D 3.34
中公解析:所求为现期倍数,所以为
,所以选择C。
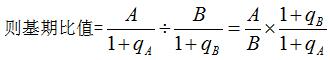
二、基期比值:
现期分子用A表示,增长率是qA;现期分母用B表示,增长率是qB。

例题4、2009年,我国水资源总量是24180.2亿立方米,比上年下降11.8%,其中地表水资源总量为23125.2亿立方米,比上年下降12.3%。
问:2008年我国地表水资源总量占水资源总量的比重是多少?
A.1.32 B 1.13 C.0.96 D.0.67
中公解析:所求为基期比重,所以为
,从而选择C。
例题5、2016年7月浙江省投资新开工项目22752个,比上年同期增长39.4%,新开工项目投资5825亿元,增长35,9%,其中,工业项目投资增长26.5%,服务业项目投资增长46.6%,基础设施投资增长55.8%。
问:2015年7月浙江省新开工项目单位投资额约多少亿元?
A.0.13 B.0.26 C 0.37 D.0.46
中公解析:所求为基期平均数,所以为
,所以选择B。
三、比值的变化趋势:
,从而总结得到:
qA﹥qB,比值上升;qA﹤qB,比值下降;qA=qB,比值不变。
例题6、第三产业投资133527亿元,增长12.4%,增速提高0.3个百分点。其中,基础设施投资(不含电力)40601亿元,同比增长19.1%。则2015年1-6月,第三产业固定资产投资中,基础设施投资(不含电力)所占比重高于上年同期水平。(判断正误)
中公解析:qA (19.1%)﹥qB(12.4%),比重上升,所以正确。
例题7、2012年我国纸浆进口量为1646万吨,同比增加14.0%;进口额为110亿美元,同比减少7.5%。
问:2012年我国纸浆的进口平均价格比2011年增长还是减少了?
中公解析:qA (-7.5%)﹤qB(14.0%),平均数下降。
四、比值的变化量:
。
例题8、2015年1-6月,全国固定资产投资(不含农户)237132亿元,同比增长11.4%,西部地区投资67037亿元,增长14.9%。则2015年1-6月,全国固定资产投资(不含农户)中西部地区投资所占比重比上年:
A.上升了0.85个百分点 B.上升了0.33个百分点
C.下降了0.85个百分点 D 下降了0.33个百分点
中公解析:
,由于是正数,所以上升,选稍小的,所以选择A。
通过上面四点对于两数之比的总结,基本包括了比重,平均数以及倍数的基本考察方式,从而可以快速的对于题目作出反应快速解题,将资料分析公式难点攻克。
欢迎关注安徽公务员考试网,或关注安徽中公教育官方微信号(ahoffcn),及时掌握公考资讯!

责任编辑(周金花)